近日,jdb电子jdb电子游戏官方网站陈利娟老师作为第一作者和通讯作者,jdb电子作为第一单位和通讯单位,与上海理工大学、电子科技大学、四川大学、德国汉堡大学德国国家工程院院士团队合作在国际知名期刊NEUROCOMPUTING和NEURAL NETWORKS上连续发表题为“State estimation for memristive neural networks with mixed time varying delays via multiple integral equality”和“Semantic consistency learning on manifold for source data-free unsupervised domain adaptation”的学术研究论文。NEUROCOMPUTING(IF=5.779)和NEURAL NETWORKS(IF=9.657)在神经网络和人工智能领域具有很高的学术声誉。

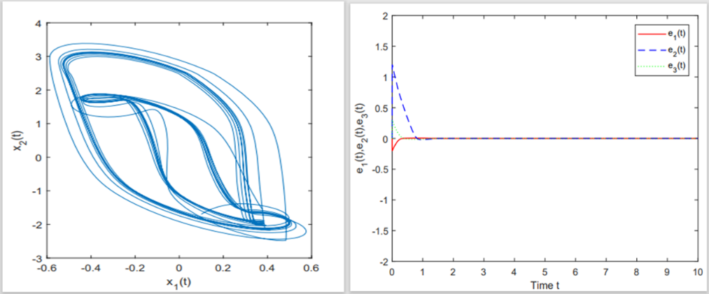
基于忆阻器的神经网络具有低功耗、高度可扩展、高度可适应等特点,对于突破当前基于“冯·诺依曼”架构的神经网络计算瓶颈具有重要意义。作为忆阻神经网络中的典型特征,时滞是造成系统不稳定的关键因素之一。针对该问题,陈利娟老师提出了混合时滞的忆阻神经网络状态估计问题,研究混合时滞忆阻神经网络保守性,通过非脆弱状态估计,建立基于估计误差的系统渐近稳定充分条件,提供了保守性判定的理论依据,为忆阻交叉阵列等真实忆阻神经网络的设计提供了理论指导。

此外,针对无源无监督领域自适应这一热点迁移学习问题,提出了一种基于流形语义一致性的深度学习方法。该方法通过挖掘隐藏在数据流形中的具有语义关联的几何约束关系,有效克服了目标领域语义标签缺失,实现了基于自监督学习的模型迁移,在开源的标准数据上,取得了SOTA的性能。由于并不需要源领域的任何数据,该方法在涉及隐私保护、信息安全的人工智能应用中具有独特优势。
以上两项工作陈利娟老师均依托jdb电子游戏官方网站博士科研启动基金完成。(jdb电子游戏官方网站供稿)
论文链接:https://doi.org/10.1016/j.neucom.2022.06.044
https://doi.org/10.1016/j.neunet.2022.05.015
